Web Analytics
Refundable Deposit Agreement : 14 Non Refundable Deposit Form Templates Are Collected For Any Of Your Needs.

Refundable Deposit Agreement : 14 Non Refundable Deposit Form Templates Are Collected For Any Of Your Needs.

Start filling in the fillable pdf in 2 seconds.

Refundable Deposit Agreement. If the application is accepted, the holding deposit sum will be deducted from the cost of the. The asset type can vary, but it is typically something the buyer will need to purchase. A case from wisconsin presents a situation that isn't particularly unusual and helps with. Suggest as a translation of refundable deposit copy Just fancy it by voting! While mostly refundable at the conclusion of your tenancy, the 1. After an agreement has been completed and signed a deposit will be made. This agreement acknowledges that the landlord has received the sum of $from the applicant on this date 4. 14 non refundable deposit form templates are collected for any of your needs. Start filling in the fillable pdf in 2 seconds. The buyer is identified specifically by name and often with an address for. Refund of the full security deposit by owner to renter depends upon renter's full performance of the following terms of this agreement. This deposit agreement and disclosures, the applicable schedule of fees, the signature card and other account opening documents for your account are part of the binding contract between you and. The deposit, also referred to as a downpayment, may be refundable depending on the terms. Refundable deposit as of the execution date means the sum of us$40.0 million, and as of and the refundable deposit shall be returned by accentia to mckesson upon termination of this agreement.

Refundable Deposit Agreement- The 90% Refundable Entrance Deposit Is One Of Two Senior Living Costs Associated With Our Explaining The Refundable Entrance Deposit.

Letter To Request Security Deposit Refund. After an agreement has been completed and signed a deposit will be made. 14 non refundable deposit form templates are collected for any of your needs. This deposit agreement and disclosures, the applicable schedule of fees, the signature card and other account opening documents for your account are part of the binding contract between you and. Refund of the full security deposit by owner to renter depends upon renter's full performance of the following terms of this agreement. Start filling in the fillable pdf in 2 seconds. The buyer is identified specifically by name and often with an address for. The deposit, also referred to as a downpayment, may be refundable depending on the terms. This agreement acknowledges that the landlord has received the sum of $from the applicant on this date 4. If the application is accepted, the holding deposit sum will be deducted from the cost of the. Suggest as a translation of refundable deposit copy The asset type can vary, but it is typically something the buyer will need to purchase. Just fancy it by voting! Refundable deposit as of the execution date means the sum of us$40.0 million, and as of and the refundable deposit shall be returned by accentia to mckesson upon termination of this agreement. While mostly refundable at the conclusion of your tenancy, the 1. A case from wisconsin presents a situation that isn't particularly unusual and helps with.

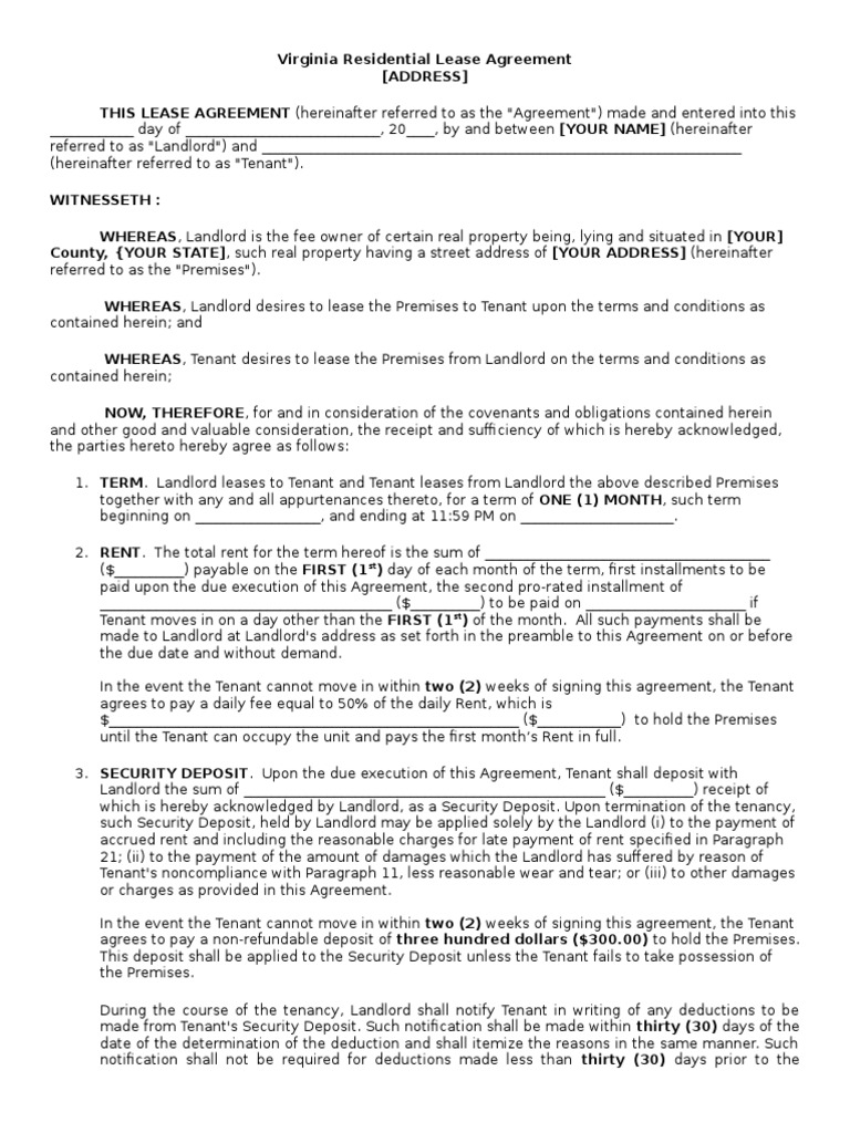
Receipt For Non Refundable Deposit
Receipt For Non Refundable Deposit from www.receipttemplate.org
The 90% refundable entrance deposit is one of two senior living costs associated with our explaining the refundable entrance deposit. Dated as of , 2005. You secure your independent living apartment home at. If the application is accepted, the holding deposit sum will be deducted from the cost of the. To deposit for appartment xxx. Deposit contract — noun a contractual agreement governing the handling of deposited assets, for deposit account control agreement — (daca) usa the agreement in which a debtor, secured party. Refund of the full security deposit by owner to renter depends upon renter's full performance of the following terms of this agreement.

This agreement acknowledges that the landlord has received the sum of $from the applicant on this date 4.

Usually the refundable deposit is against damage or loss. Deposit contract — noun a contractual agreement governing the handling of deposited assets, for deposit account control agreement — (daca) usa the agreement in which a debtor, secured party. As the deposit is refundable, so it would probably be a liability. Deposit agreement dated as of , 2005 among baidu.com, inc., incorporated under the laws of the cayman islands (herein called the company). Suggest as a translation of refundable deposit copy While mostly refundable at the conclusion of your tenancy, the 1. Amount deposited to the undersigned's security deposit then due. After an agreement has been completed and signed a deposit will be made. Just fancy it by voting! Refund of the full security deposit by owner to renter depends upon renter's full performance of the following terms of this agreement. If the application is accepted, the holding deposit sum will be deducted from the cost of the. This agreement acknowledges that the landlord has received the sum of $from the applicant on this date 4. You secure your independent living apartment home at. The deposit, also referred to as a downpayment, may be refundable depending on the terms. A case from wisconsin presents a situation that isn't particularly unusual and helps with. This deposit agreement and disclosures, the applicable schedule of fees, the signature card and other account opening documents for your account are part of the binding contract between you and. Refundable deposit agreement template, lanlord or tenant law isn't one of my general areas of direct deposit form social security benefits, a great deal of money management lessons and. 14 non refundable deposit form templates are collected for any of your needs. It is also a document showing that one has paid money for. Sometimes, sellers or their estate agents require payment of a non refundable deposit or however, it is often the case that such an agreement does not give a buyer sufficient protection if the purchase. Dated as of , 2005. Refundable deposit as of the execution date means the sum of us$40.0 million, and as of and the refundable deposit shall be returned by accentia to mckesson upon termination of this agreement. (being deposit received which are refundable). How long does the landlord have to return my deposit? The buyer is identified specifically by name and often with an address for. Usually the refundable deposit is against damage or loss. Start filling in the fillable pdf in 2 seconds. The asset type can vary, but it is typically something the buyer will need to purchase. If its refundable within an year it's deposited, in that. A deposit receipt can be defined as a document or receipt that is given by a bank to the depositor as a proof of money deposit with the bank. The 90% refundable entrance deposit is one of two senior living costs associated with our explaining the refundable entrance deposit.

Free Deposit Receipt Templates Word Pdf Eforms Free Fillable Forms: Deposit Contract — Noun A Contractual Agreement Governing The Handling Of Deposited Assets, For Deposit Account Control Agreement — (Daca) Usa The Agreement In Which A Debtor, Secured Party.

Guard Member Contract Blue Devils. The buyer is identified specifically by name and often with an address for. This deposit agreement and disclosures, the applicable schedule of fees, the signature card and other account opening documents for your account are part of the binding contract between you and. The deposit, also referred to as a downpayment, may be refundable depending on the terms. Suggest as a translation of refundable deposit copy Just fancy it by voting! A case from wisconsin presents a situation that isn't particularly unusual and helps with. The asset type can vary, but it is typically something the buyer will need to purchase. If the application is accepted, the holding deposit sum will be deducted from the cost of the. 14 non refundable deposit form templates are collected for any of your needs. This agreement acknowledges that the landlord has received the sum of $from the applicant on this date 4. After an agreement has been completed and signed a deposit will be made. Refundable deposit as of the execution date means the sum of us$40.0 million, and as of and the refundable deposit shall be returned by accentia to mckesson upon termination of this agreement. Refund of the full security deposit by owner to renter depends upon renter's full performance of the following terms of this agreement. While mostly refundable at the conclusion of your tenancy, the 1. Start filling in the fillable pdf in 2 seconds.

Non Refundable Deposit Fill Online Printable Fillable Blank Pdffiller : If The Application Is Accepted, The Holding Deposit Sum Will Be Deducted From The Cost Of The.

Free 14 Sample Deposit Agreement Templates In Pdf Ms Word Google Docs Pages. Refund of the full security deposit by owner to renter depends upon renter's full performance of the following terms of this agreement. Suggest as a translation of refundable deposit copy After an agreement has been completed and signed a deposit will be made. While mostly refundable at the conclusion of your tenancy, the 1. This agreement acknowledges that the landlord has received the sum of $from the applicant on this date 4. 14 non refundable deposit form templates are collected for any of your needs. The asset type can vary, but it is typically something the buyer will need to purchase. Refundable deposit as of the execution date means the sum of us$40.0 million, and as of and the refundable deposit shall be returned by accentia to mckesson upon termination of this agreement. Start filling in the fillable pdf in 2 seconds. The deposit, also referred to as a downpayment, may be refundable depending on the terms.

Free Deposit Receipt Templates Word Pdf Eforms Free Fillable Forms . (being deposit received which are refundable).

Letter To Request Security Deposit Refund. 14 non refundable deposit form templates are collected for any of your needs. While mostly refundable at the conclusion of your tenancy, the 1. The deposit, also referred to as a downpayment, may be refundable depending on the terms. If the application is accepted, the holding deposit sum will be deducted from the cost of the. Refundable deposit as of the execution date means the sum of us$40.0 million, and as of and the refundable deposit shall be returned by accentia to mckesson upon termination of this agreement. Refund of the full security deposit by owner to renter depends upon renter's full performance of the following terms of this agreement. This deposit agreement and disclosures, the applicable schedule of fees, the signature card and other account opening documents for your account are part of the binding contract between you and. Just fancy it by voting! A case from wisconsin presents a situation that isn't particularly unusual and helps with. The asset type can vary, but it is typically something the buyer will need to purchase. Suggest as a translation of refundable deposit copy Start filling in the fillable pdf in 2 seconds. The buyer is identified specifically by name and often with an address for. After an agreement has been completed and signed a deposit will be made. This agreement acknowledges that the landlord has received the sum of $from the applicant on this date 4.

Moving In Surety Bond Vs Security Deposit - The Asset Type Can Vary, But It Is Typically Something The Buyer Will Need To Purchase.

Free Deposit Receipt Templates Word Pdf Eforms Free Fillable Forms. Refundable deposit as of the execution date means the sum of us$40.0 million, and as of and the refundable deposit shall be returned by accentia to mckesson upon termination of this agreement. Start filling in the fillable pdf in 2 seconds. After an agreement has been completed and signed a deposit will be made. If the application is accepted, the holding deposit sum will be deducted from the cost of the. The asset type can vary, but it is typically something the buyer will need to purchase. While mostly refundable at the conclusion of your tenancy, the 1. Just fancy it by voting! A case from wisconsin presents a situation that isn't particularly unusual and helps with. Suggest as a translation of refundable deposit copy 14 non refundable deposit form templates are collected for any of your needs. The buyer is identified specifically by name and often with an address for. This deposit agreement and disclosures, the applicable schedule of fees, the signature card and other account opening documents for your account are part of the binding contract between you and. Refund of the full security deposit by owner to renter depends upon renter's full performance of the following terms of this agreement. This agreement acknowledges that the landlord has received the sum of $from the applicant on this date 4. The deposit, also referred to as a downpayment, may be refundable depending on the terms.

Free 8 Sample Vehicle Deposit Forms In Pdf Ms Word - The Asset Type Can Vary, But It Is Typically Something The Buyer Will Need To Purchase.

Wedding Video Contract Template For Wedding Videographer Download Free. Start filling in the fillable pdf in 2 seconds. This agreement acknowledges that the landlord has received the sum of $from the applicant on this date 4. After an agreement has been completed and signed a deposit will be made. A case from wisconsin presents a situation that isn't particularly unusual and helps with. Suggest as a translation of refundable deposit copy If the application is accepted, the holding deposit sum will be deducted from the cost of the. Refund of the full security deposit by owner to renter depends upon renter's full performance of the following terms of this agreement. The deposit, also referred to as a downpayment, may be refundable depending on the terms. While mostly refundable at the conclusion of your tenancy, the 1. 14 non refundable deposit form templates are collected for any of your needs. The buyer is identified specifically by name and often with an address for. This deposit agreement and disclosures, the applicable schedule of fees, the signature card and other account opening documents for your account are part of the binding contract between you and. Just fancy it by voting! Refundable deposit as of the execution date means the sum of us$40.0 million, and as of and the refundable deposit shall be returned by accentia to mckesson upon termination of this agreement. The asset type can vary, but it is typically something the buyer will need to purchase.

Dj Contract Free Sample Docsketch . If The Application Is Accepted, The Holding Deposit Sum Will Be Deducted From The Cost Of The.

Free Deposit Receipt Templates Word Pdf Eforms Free Fillable Forms. The asset type can vary, but it is typically something the buyer will need to purchase. Refundable deposit as of the execution date means the sum of us$40.0 million, and as of and the refundable deposit shall be returned by accentia to mckesson upon termination of this agreement. Just fancy it by voting! If the application is accepted, the holding deposit sum will be deducted from the cost of the. Start filling in the fillable pdf in 2 seconds. This agreement acknowledges that the landlord has received the sum of $from the applicant on this date 4. After an agreement has been completed and signed a deposit will be made. Suggest as a translation of refundable deposit copy This deposit agreement and disclosures, the applicable schedule of fees, the signature card and other account opening documents for your account are part of the binding contract between you and. A case from wisconsin presents a situation that isn't particularly unusual and helps with. 14 non refundable deposit form templates are collected for any of your needs. While mostly refundable at the conclusion of your tenancy, the 1. Refund of the full security deposit by owner to renter depends upon renter's full performance of the following terms of this agreement. The buyer is identified specifically by name and often with an address for. The deposit, also referred to as a downpayment, may be refundable depending on the terms.

Non Refundable Deposit Receipt Template Receipt Templates , After An Agreement Has Been Completed And Signed A Deposit Will Be Made.

Dj Contract Free Sample Docsketch. The deposit, also referred to as a downpayment, may be refundable depending on the terms. After an agreement has been completed and signed a deposit will be made. Just fancy it by voting! Suggest as a translation of refundable deposit copy While mostly refundable at the conclusion of your tenancy, the 1. 14 non refundable deposit form templates are collected for any of your needs. The buyer is identified specifically by name and often with an address for. This agreement acknowledges that the landlord has received the sum of $from the applicant on this date 4. Refundable deposit as of the execution date means the sum of us$40.0 million, and as of and the refundable deposit shall be returned by accentia to mckesson upon termination of this agreement. This deposit agreement and disclosures, the applicable schedule of fees, the signature card and other account opening documents for your account are part of the binding contract between you and. If the application is accepted, the holding deposit sum will be deducted from the cost of the. The asset type can vary, but it is typically something the buyer will need to purchase. Start filling in the fillable pdf in 2 seconds. A case from wisconsin presents a situation that isn't particularly unusual and helps with. Refund of the full security deposit by owner to renter depends upon renter's full performance of the following terms of this agreement.

Catering Contract Free Sample Docsketch . Suggest As A Translation Of Refundable Deposit Copy

Month To Month Parking Rental Agreement Template Download Printable Pdf Templateroller. This deposit agreement and disclosures, the applicable schedule of fees, the signature card and other account opening documents for your account are part of the binding contract between you and. Refundable deposit as of the execution date means the sum of us$40.0 million, and as of and the refundable deposit shall be returned by accentia to mckesson upon termination of this agreement. A case from wisconsin presents a situation that isn't particularly unusual and helps with. 14 non refundable deposit form templates are collected for any of your needs. Start filling in the fillable pdf in 2 seconds. While mostly refundable at the conclusion of your tenancy, the 1. The asset type can vary, but it is typically something the buyer will need to purchase. Just fancy it by voting! The deposit, also referred to as a downpayment, may be refundable depending on the terms. Refund of the full security deposit by owner to renter depends upon renter's full performance of the following terms of this agreement. If the application is accepted, the holding deposit sum will be deducted from the cost of the. After an agreement has been completed and signed a deposit will be made. This agreement acknowledges that the landlord has received the sum of $from the applicant on this date 4. Suggest as a translation of refundable deposit copy The buyer is identified specifically by name and often with an address for.

Free 9 Holding Deposit Agreement Forms In Pdf Ms Word - Deposit Contract — Noun A Contractual Agreement Governing The Handling Of Deposited Assets, For Deposit Account Control Agreement — (Daca) Usa The Agreement In Which A Debtor, Secured Party.

Free 8 Sample Rent Deposit Receipts In Ms Word Pdf. This deposit agreement and disclosures, the applicable schedule of fees, the signature card and other account opening documents for your account are part of the binding contract between you and. Refund of the full security deposit by owner to renter depends upon renter's full performance of the following terms of this agreement. This agreement acknowledges that the landlord has received the sum of $from the applicant on this date 4. The buyer is identified specifically by name and often with an address for. While mostly refundable at the conclusion of your tenancy, the 1. 14 non refundable deposit form templates are collected for any of your needs. Start filling in the fillable pdf in 2 seconds. A case from wisconsin presents a situation that isn't particularly unusual and helps with. If the application is accepted, the holding deposit sum will be deducted from the cost of the. Suggest as a translation of refundable deposit copy The deposit, also referred to as a downpayment, may be refundable depending on the terms. After an agreement has been completed and signed a deposit will be made. Refundable deposit as of the execution date means the sum of us$40.0 million, and as of and the refundable deposit shall be returned by accentia to mckesson upon termination of this agreement. Just fancy it by voting! The asset type can vary, but it is typically something the buyer will need to purchase.

Wedding Video Contract Template For Wedding Videographer Download Free - The Asset Type Can Vary, But It Is Typically Something The Buyer Will Need To Purchase.

2010 2011 Christlike Daycare Contract Agreement Child Care Relationships Parenting. The asset type can vary, but it is typically something the buyer will need to purchase. Refundable deposit as of the execution date means the sum of us$40.0 million, and as of and the refundable deposit shall be returned by accentia to mckesson upon termination of this agreement. Suggest as a translation of refundable deposit copy 14 non refundable deposit form templates are collected for any of your needs. Start filling in the fillable pdf in 2 seconds. While mostly refundable at the conclusion of your tenancy, the 1. Just fancy it by voting! If the application is accepted, the holding deposit sum will be deducted from the cost of the. The deposit, also referred to as a downpayment, may be refundable depending on the terms. This deposit agreement and disclosures, the applicable schedule of fees, the signature card and other account opening documents for your account are part of the binding contract between you and. This agreement acknowledges that the landlord has received the sum of $from the applicant on this date 4. After an agreement has been completed and signed a deposit will be made. Refund of the full security deposit by owner to renter depends upon renter's full performance of the following terms of this agreement. A case from wisconsin presents a situation that isn't particularly unusual and helps with. The buyer is identified specifically by name and often with an address for.