Web Analytics
Photo Copyright Release - Find & Download The Most Popular Copyright Photos On Freepik Free For Commercial Use High Quality Images Over 6 Million Stock Photos.

Photo Copyright Release - Find & Download The Most Popular Copyright Photos On Freepik Free For Commercial Use High Quality Images Over 6 Million Stock Photos.

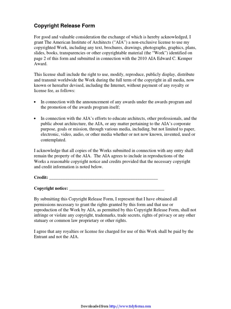
Reproductions of the photo may be made in any size or quantity for the following purpose

Photo Copyright Release. Print photo release forms to accompany digital files. Create a high quality document online now! A photo copyright release form serves as a proof that the permission has been granted to you or your business to use the photo and the picture property that belongs to another. A photo copyright release grants permission to a third party to reproduce (reprint) photos taken by the photographer who owns the copyright. Fill, sign and send anytime, anywhere, from any device with pdffiller. This release of liability may typically be required by a. A model copyright release form is a document that provides authority on how a specified copyrighted photo will be reproduced, distributed, or used by any other party other than the original owner. If the target photograph is under copyright, you must contact the owner first to inquire about usage. The copyright symbol © is an indication that this. Photography copyright is a right given to photographers which prohibits anyone from using his/her photo for commercial purposes without permission. Sample print release forms if you are opting to create a copyright form, these high quality 8+ photo copyright release form. A photography copyright release form is a legal form normally drafted by the copyright owner for the recipient of the photo authorizing the latter to copy and use the photo for certain purposes. Collection of most popular forms in a given sphere. Fillable photograph copyright release form. Particularly over the use of copyright vs.

Photo Copyright Release: Sample Print Release Forms If You Are Opting To Create A Copyright Form, These High Quality 8+ Photo Copyright Release Form.

Photo Copyright Print Release Printable Form For Etsy. Print photo release forms to accompany digital files. Fill, sign and send anytime, anywhere, from any device with pdffiller. A photo copyright release form serves as a proof that the permission has been granted to you or your business to use the photo and the picture property that belongs to another. Particularly over the use of copyright vs. A photo copyright release grants permission to a third party to reproduce (reprint) photos taken by the photographer who owns the copyright. A model copyright release form is a document that provides authority on how a specified copyrighted photo will be reproduced, distributed, or used by any other party other than the original owner. This release of liability may typically be required by a. Create a high quality document online now! If the target photograph is under copyright, you must contact the owner first to inquire about usage. Sample print release forms if you are opting to create a copyright form, these high quality 8+ photo copyright release form. Collection of most popular forms in a given sphere. The copyright symbol © is an indication that this. A photography copyright release form is a legal form normally drafted by the copyright owner for the recipient of the photo authorizing the latter to copy and use the photo for certain purposes. Photography copyright is a right given to photographers which prohibits anyone from using his/her photo for commercial purposes without permission. Fillable photograph copyright release form.

Music Release Form Release Forms Release Forms
Music Release Form Release Forms Release Forms from releaseforms.org
Branding and identifying your company can be. Reproductions of the photo may be made in any size or quantity for the following purpose A model copyright release form is a document that provides authority on how a specified copyrighted photo will be reproduced, distributed, or used by any other party other than the original owner. Copyright is granted automatically when the photo is taken, but to register the copyright with the u.s. If the target photograph is under copyright, you must contact the owner first to inquire about usage. Fillable photograph copyright release form. A photo copyright release form serves as a proof that the permission has been granted to you or your business to use the photo and the picture property that belongs to another.

Fill, sign and send anytime, anywhere, from any device with pdffiller.

This release of liability may typically be required by a. In general, when the shutter is released, the photographer who pressed the button owns the copyright. An interview with copyright attorney carolyn e. Find & download the most popular copyright photos on freepik free for commercial use high quality images over 6 million stock photos. Reproductions of the photo may be made in any size or quantity for the following purpose Where can i find a generic photo copyright release form? Sample print release forms if you are opting to create a copyright form, these high quality 8+ photo copyright release form. Photo release forms, also known as model release forms, are used when people, pets and property in this case, you as the photographer sign a photo copyright release form to document a rights. Are you looking for a photo release form template? Fillable photograph copyright release form. If you are a professional photographer, you should absolutely create and implement copyright for your name or business. Collection of most popular forms in a given sphere. The term photo release form is an umbrella term for various releases. If the target photograph is under copyright, you must contact the owner first to inquire about usage. A model copyright release form is a document that provides authority on how a specified copyrighted photo will be reproduced, distributed, or used by any other party other than the original owner. At the top under photo copyright release, you can edit your own photography studio's what you get (1 zipped file): Wright on photography and copyright law. A photo release form outlines how the client can use the photos, and any special requirements. Photography copyright is a right given to photographers which prohibits anyone from using his/her photo for commercial purposes without permission. A photography copyright release form is a legal form normally drafted by the copyright owner for the recipient of the photo authorizing the latter to copy and use the photo for certain purposes. The photographer owns the copyright and can release your images for printing by way of a licence to print for this site might help you. I've never sold a copyright release before. A photo copyright release form serves as a proof that the permission has been granted to you or your business to use the photo and the picture property that belongs to another. Print photo release forms to accompany digital files. Once your images are online. The copyright symbol © is an indication that this. Fill, sign and send anytime, anywhere, from any device with pdffiller. Some photo copyright release forms are blanket releases. My first photo is them signing the release, the second photo is them with their id in one hand and a passport color checker in the other. But most photo projects that involve this. Branding and identifying your company can be.

Free 8 Copyright Release Forms In Pdf Ms Word: My First Photo Is Them Signing The Release, The Second Photo Is Them With Their Id In One Hand And A Passport Color Checker In The Other.

Fill In Online Release Fro Fill Online Printable Fillable Blank Pdffiller. A photography copyright release form is a legal form normally drafted by the copyright owner for the recipient of the photo authorizing the latter to copy and use the photo for certain purposes. Print photo release forms to accompany digital files. Photography copyright is a right given to photographers which prohibits anyone from using his/her photo for commercial purposes without permission. Fillable photograph copyright release form. A model copyright release form is a document that provides authority on how a specified copyrighted photo will be reproduced, distributed, or used by any other party other than the original owner. This release of liability may typically be required by a. A photo copyright release grants permission to a third party to reproduce (reprint) photos taken by the photographer who owns the copyright. A photo copyright release form serves as a proof that the permission has been granted to you or your business to use the photo and the picture property that belongs to another. If the target photograph is under copyright, you must contact the owner first to inquire about usage. Create a high quality document online now! Collection of most popular forms in a given sphere. Fill, sign and send anytime, anywhere, from any device with pdffiller. Sample print release forms if you are opting to create a copyright form, these high quality 8+ photo copyright release form. The copyright symbol © is an indication that this. Particularly over the use of copyright vs.

53 Free Photo Release Form Templates Word Pdf Á… Templatelab . In General, When The Shutter Is Released, The Photographer Who Pressed The Button Owns The Copyright.

Photography Copyright Release Form Template Jotform. Sample print release forms if you are opting to create a copyright form, these high quality 8+ photo copyright release form. Collection of most popular forms in a given sphere. A photo copyright release grants permission to a third party to reproduce (reprint) photos taken by the photographer who owns the copyright. Create a high quality document online now! The copyright symbol © is an indication that this. This release of liability may typically be required by a. Fill, sign and send anytime, anywhere, from any device with pdffiller. A photography copyright release form is a legal form normally drafted by the copyright owner for the recipient of the photo authorizing the latter to copy and use the photo for certain purposes. A model copyright release form is a document that provides authority on how a specified copyrighted photo will be reproduced, distributed, or used by any other party other than the original owner. If the target photograph is under copyright, you must contact the owner first to inquire about usage.

Photography Copyright Release Form Template Jotform : A photography copyright release form isn't something you'll end up using all that often, since it.

File Otrs Release Form For Coh Pdf Meta. Fill, sign and send anytime, anywhere, from any device with pdffiller. A model copyright release form is a document that provides authority on how a specified copyrighted photo will be reproduced, distributed, or used by any other party other than the original owner. Create a high quality document online now! Collection of most popular forms in a given sphere. A photography copyright release form is a legal form normally drafted by the copyright owner for the recipient of the photo authorizing the latter to copy and use the photo for certain purposes. Print photo release forms to accompany digital files. If the target photograph is under copyright, you must contact the owner first to inquire about usage. The copyright symbol © is an indication that this. Photography copyright is a right given to photographers which prohibits anyone from using his/her photo for commercial purposes without permission. This release of liability may typically be required by a. Sample print release forms if you are opting to create a copyright form, these high quality 8+ photo copyright release form. Fillable photograph copyright release form. A photo copyright release form serves as a proof that the permission has been granted to you or your business to use the photo and the picture property that belongs to another. Particularly over the use of copyright vs. A photo copyright release grants permission to a third party to reproduce (reprint) photos taken by the photographer who owns the copyright.

Free 7 Sample Photography Copyright Release Forms In Ms Word Pdf . Some Photo Copyright Release Forms Are Blanket Releases.

Copyright Vs Print Release A Comparison Of Photo Release Forms. Fillable photograph copyright release form. If the target photograph is under copyright, you must contact the owner first to inquire about usage. Print photo release forms to accompany digital files. This release of liability may typically be required by a. A photography copyright release form is a legal form normally drafted by the copyright owner for the recipient of the photo authorizing the latter to copy and use the photo for certain purposes. Create a high quality document online now! A photo copyright release form serves as a proof that the permission has been granted to you or your business to use the photo and the picture property that belongs to another. A model copyright release form is a document that provides authority on how a specified copyrighted photo will be reproduced, distributed, or used by any other party other than the original owner. The copyright symbol © is an indication that this. Fill, sign and send anytime, anywhere, from any device with pdffiller. Collection of most popular forms in a given sphere. A photo copyright release grants permission to a third party to reproduce (reprint) photos taken by the photographer who owns the copyright. Particularly over the use of copyright vs. Photography copyright is a right given to photographers which prohibits anyone from using his/her photo for commercial purposes without permission. Sample print release forms if you are opting to create a copyright form, these high quality 8+ photo copyright release form.

Print Releases Photography By Brandi Hill - Copyrighting Your Photos Is Worth It.

Exercise Waiver And Release Form Lovely Model Release Form Lovely Copyright Release Form Template Lovely Models Form Ideas. A model copyright release form is a document that provides authority on how a specified copyrighted photo will be reproduced, distributed, or used by any other party other than the original owner. Particularly over the use of copyright vs. If the target photograph is under copyright, you must contact the owner first to inquire about usage. A photo copyright release form serves as a proof that the permission has been granted to you or your business to use the photo and the picture property that belongs to another. Sample print release forms if you are opting to create a copyright form, these high quality 8+ photo copyright release form. This release of liability may typically be required by a. Fill, sign and send anytime, anywhere, from any device with pdffiller. Photography copyright is a right given to photographers which prohibits anyone from using his/her photo for commercial purposes without permission. The copyright symbol © is an indication that this. A photography copyright release form is a legal form normally drafted by the copyright owner for the recipient of the photo authorizing the latter to copy and use the photo for certain purposes. Fillable photograph copyright release form. Create a high quality document online now! Collection of most popular forms in a given sphere. A photo copyright release grants permission to a third party to reproduce (reprint) photos taken by the photographer who owns the copyright. Print photo release forms to accompany digital files.

Exercise Waiver And Release Form Lovely Model Release Form Lovely Copyright Release Form Template Lovely Models Form Ideas : It's Most Common Use Is For A Lot Of Photographers Don't Like Copyright Release Forms.

Copyright Release Form Letter By Jaunts In Journalism Tpt. Photography copyright is a right given to photographers which prohibits anyone from using his/her photo for commercial purposes without permission. If the target photograph is under copyright, you must contact the owner first to inquire about usage. Particularly over the use of copyright vs. A photo copyright release form serves as a proof that the permission has been granted to you or your business to use the photo and the picture property that belongs to another. This release of liability may typically be required by a. A model copyright release form is a document that provides authority on how a specified copyrighted photo will be reproduced, distributed, or used by any other party other than the original owner. Fillable photograph copyright release form. Sample print release forms if you are opting to create a copyright form, these high quality 8+ photo copyright release form. A photo copyright release grants permission to a third party to reproduce (reprint) photos taken by the photographer who owns the copyright. A photography copyright release form is a legal form normally drafted by the copyright owner for the recipient of the photo authorizing the latter to copy and use the photo for certain purposes. Print photo release forms to accompany digital files. Fill, sign and send anytime, anywhere, from any device with pdffiller. Collection of most popular forms in a given sphere. The copyright symbol © is an indication that this. Create a high quality document online now!

Free 7 Sample Photography Copyright Release Forms In Ms Word Pdf : A Model Copyright Release Form Is A Document That Provides Authority On How A Specified Copyrighted Photo Will Be Reproduced, Distributed, Or Used By Any Other Party Other Than The Original Owner.

Copyright Release Form 1 Pdfsimpli. Fillable photograph copyright release form. Particularly over the use of copyright vs. Sample print release forms if you are opting to create a copyright form, these high quality 8+ photo copyright release form. A photography copyright release form is a legal form normally drafted by the copyright owner for the recipient of the photo authorizing the latter to copy and use the photo for certain purposes. A photo copyright release grants permission to a third party to reproduce (reprint) photos taken by the photographer who owns the copyright. Print photo release forms to accompany digital files. If the target photograph is under copyright, you must contact the owner first to inquire about usage. A photo copyright release form serves as a proof that the permission has been granted to you or your business to use the photo and the picture property that belongs to another. Create a high quality document online now! Fill, sign and send anytime, anywhere, from any device with pdffiller. Photography copyright is a right given to photographers which prohibits anyone from using his/her photo for commercial purposes without permission. This release of liability may typically be required by a. Collection of most popular forms in a given sphere. The copyright symbol © is an indication that this. A model copyright release form is a document that provides authority on how a specified copyrighted photo will be reproduced, distributed, or used by any other party other than the original owner.

12 Photo Copyright Release Form Proposal Letter . Fill, Sign And Send Anytime, Anywhere, From Any Device With Pdffiller.

6 Best Photo Copyright Release Form Template Hq. Fillable photograph copyright release form. If the target photograph is under copyright, you must contact the owner first to inquire about usage. Fill, sign and send anytime, anywhere, from any device with pdffiller. A photo copyright release grants permission to a third party to reproduce (reprint) photos taken by the photographer who owns the copyright. A photography copyright release form is a legal form normally drafted by the copyright owner for the recipient of the photo authorizing the latter to copy and use the photo for certain purposes. A model copyright release form is a document that provides authority on how a specified copyrighted photo will be reproduced, distributed, or used by any other party other than the original owner. Particularly over the use of copyright vs. Sample print release forms if you are opting to create a copyright form, these high quality 8+ photo copyright release form. The copyright symbol © is an indication that this. Photography copyright is a right given to photographers which prohibits anyone from using his/her photo for commercial purposes without permission. Collection of most popular forms in a given sphere. Create a high quality document online now! This release of liability may typically be required by a. Print photo release forms to accompany digital files. A photo copyright release form serves as a proof that the permission has been granted to you or your business to use the photo and the picture property that belongs to another.

Law Office Intake Form Brilliant Sick Certificate Template Awesome Copyright Release Form Template Models Form Ideas . Sample Print Release Forms If You Are Opting To Create A Copyright Form, These High Quality 8+ Photo Copyright Release Form.

12 Photo Copyright Release Form Proposal Letter. This release of liability may typically be required by a. Particularly over the use of copyright vs. Sample print release forms if you are opting to create a copyright form, these high quality 8+ photo copyright release form. If the target photograph is under copyright, you must contact the owner first to inquire about usage. Collection of most popular forms in a given sphere. Photography copyright is a right given to photographers which prohibits anyone from using his/her photo for commercial purposes without permission. Fill, sign and send anytime, anywhere, from any device with pdffiller. The copyright symbol © is an indication that this. Print photo release forms to accompany digital files. A model copyright release form is a document that provides authority on how a specified copyrighted photo will be reproduced, distributed, or used by any other party other than the original owner. A photo copyright release grants permission to a third party to reproduce (reprint) photos taken by the photographer who owns the copyright. Create a high quality document online now! Fillable photograph copyright release form. A photography copyright release form is a legal form normally drafted by the copyright owner for the recipient of the photo authorizing the latter to copy and use the photo for certain purposes. A photo copyright release form serves as a proof that the permission has been granted to you or your business to use the photo and the picture property that belongs to another.

Free 8 Photo Copyright Release Form Samples In Ms Word Pdf . Photo Release Forms, Also Known As Model Release Forms, Are Used When People, Pets And Property In This Case, You As The Photographer Sign A Photo Copyright Release Form To Document A Rights.

12 Photo Copyright Release Form Proposal Letter. The copyright symbol © is an indication that this. Photography copyright is a right given to photographers which prohibits anyone from using his/her photo for commercial purposes without permission. A photo copyright release grants permission to a third party to reproduce (reprint) photos taken by the photographer who owns the copyright. Collection of most popular forms in a given sphere. A photo copyright release form serves as a proof that the permission has been granted to you or your business to use the photo and the picture property that belongs to another. Particularly over the use of copyright vs. Sample print release forms if you are opting to create a copyright form, these high quality 8+ photo copyright release form. A model copyright release form is a document that provides authority on how a specified copyrighted photo will be reproduced, distributed, or used by any other party other than the original owner. Print photo release forms to accompany digital files. Fill, sign and send anytime, anywhere, from any device with pdffiller. If the target photograph is under copyright, you must contact the owner first to inquire about usage. A photography copyright release form is a legal form normally drafted by the copyright owner for the recipient of the photo authorizing the latter to copy and use the photo for certain purposes. Fillable photograph copyright release form. This release of liability may typically be required by a. Create a high quality document online now!