Web Analytics
Financial Contract Template - Business Contracts, Employment Agreements, Franchise Agreements And Other Business Contracts, Forms And Agreeements.

Financial Contract Template - Business Contracts, Employment Agreements, Franchise Agreements And Other Business Contracts, Forms And Agreeements.

Business contracts, employment agreements, franchise agreements and other business contracts, forms and agreeements.

Financial Contract Template. From employment contracts to rental agreements, contracts are essential in nearly every business. A contract template refers to a template used for writing a contract. We provide a variety of free and printable contract templates for you. In common law legal systems, a contract (or. Instantly download free contract templates, samples & examples in adobe pdf, microsoft word (doc), google docs, apple (mac) pages. Whether you're getting home repairs done, doing home repairs for others, or get access to 100+ contract templates & agreements. Get free contract templates for business or personal use. 538 sample contract templates you can view, download and print for free. There are contracts and agreements for many home and business arrangements, including home maintenance services. But drawing up contracts from scratch every time you need one can be. Download and use these documents to clearly define the terms, conditions, and expectations for every agreement. Contract templates and agreements (from 25,000 sales documents). Download free printable contract template samples in pdf, word and excel formats. We've taken everything we learned from 2 billion in winning sales and created this contract library. Benefit from 32 sample contract templates.

Financial Contract Template, Allow Me To Share With You Several Free Agreement Templates In Ms Word To Assist You In Drafting Your Own Legal Agreement In As Less As Possible Time.

Agreement Templates Pdf Templates Jotform. Get free contract templates for business or personal use. In common law legal systems, a contract (or. Instantly download free contract templates, samples & examples in adobe pdf, microsoft word (doc), google docs, apple (mac) pages. We provide a variety of free and printable contract templates for you. Download and use these documents to clearly define the terms, conditions, and expectations for every agreement. But drawing up contracts from scratch every time you need one can be. A contract template refers to a template used for writing a contract. 538 sample contract templates you can view, download and print for free. Whether you're getting home repairs done, doing home repairs for others, or get access to 100+ contract templates & agreements. From employment contracts to rental agreements, contracts are essential in nearly every business. Contract templates and agreements (from 25,000 sales documents). We've taken everything we learned from 2 billion in winning sales and created this contract library. Benefit from 32 sample contract templates. Download free printable contract template samples in pdf, word and excel formats. There are contracts and agreements for many home and business arrangements, including home maintenance services.

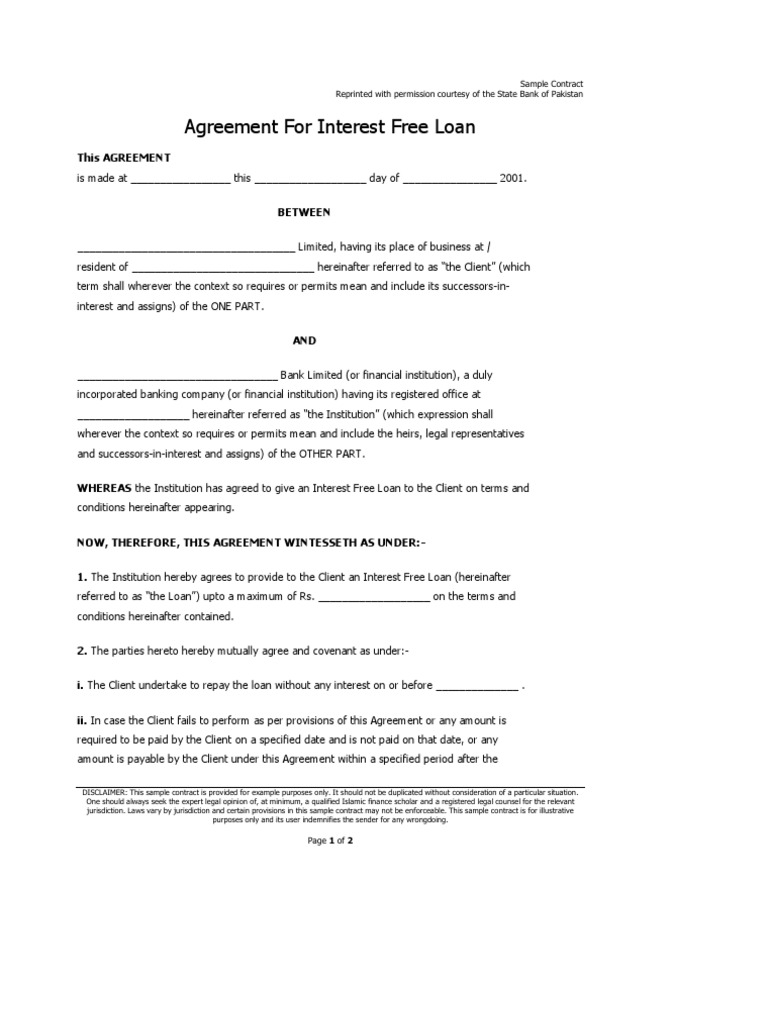
Loan Agreement Template Ipasphoto
Loan Agreement Template Ipasphoto from ipasphoto.com
We provide a variety of free and printable contract templates for you. Promise to pay or promissory note. From employment contracts to rental agreements, contracts are essential in nearly every business. Employee contracts contain details like hours of work, the rate of pay, the employee's. Create a high quality document online now! Depending on the loan that was selected a legal contract will need to be drafted stating the terms of the loan agreement including You can get free commercial contract template from here.

Collection of most popular forms in a given sphere.

Well before some years ago people want to get rid from the critical way of leasing. Whether you're getting home repairs done, doing home repairs for others, or get access to 100+ contract templates & agreements. If the job description changes significantly or there is a need to. You have to develop a business contract which contains possible solutions to instances and other situations that may occur during the transaction. Well before some years ago people want to get rid from the critical way of leasing. Promise to pay or promissory note. Why contract template is used: A proposal contract template seals all the potential hassles involved while undergoing a business deal or partnership. Set clear expectations and protect your business by using contracts. Business contracts, employment agreements, franchise agreements and other business contracts, forms and agreeements. A well prepared financial lease contract template is what you need before entering into this agreement. In common law legal systems, a contract (or. It is a document, which records all the significant terms and conditions of a promise between two or. Get free contract templates for business or personal use. Contract templates and agreements (from 25,000 sales documents). Download and use these documents to clearly define the terms, conditions, and expectations for every agreement. But drawing up contracts from scratch every time you need one can be. Benefit from 32 sample contract templates. There are contracts and agreements for many home and business arrangements, including home maintenance services. From retail goods to service agreements, here are 12 printable contract templates you can use to increase efficiency and drive. A contract plays a vital role in several business and domestic issues. A contract template refers to a template used for writing a contract. The contract lasts for a specified period of time. Download free printable contract template samples in pdf, word and excel formats. Allow me to share with you several free agreement templates in ms word to assist you in drafting your own legal agreement in as less as possible time. We've taken everything we learned from 2 billion in winning sales and created this contract library. Download free financial templates for business and personal planning, including strategic financial depending on the type of project, you may include hourly services that contract employees provide. This is when other parties including the employer if the borrower is involved in paying the loan. Create a high quality document online now! Grab my free downloadable freelance contract template (in word and pdf) and learn the fundamentals of crafting a simple freelance contract for your clients. It provides the clear terms and conditions and lays down the responsibilities of both the.

Financial Management Agreement Template Approveme Free Contract Templates: It Is A Document, Which Records All The Significant Terms And Conditions Of A Promise Between Two Or.

Free Loan Agreement Templates Pdf Word Eforms Free Fillable Forms. A contract template refers to a template used for writing a contract. 538 sample contract templates you can view, download and print for free. Download free printable contract template samples in pdf, word and excel formats. Instantly download free contract templates, samples & examples in adobe pdf, microsoft word (doc), google docs, apple (mac) pages. In common law legal systems, a contract (or. Benefit from 32 sample contract templates. Download and use these documents to clearly define the terms, conditions, and expectations for every agreement. Get free contract templates for business or personal use. From employment contracts to rental agreements, contracts are essential in nearly every business. Contract templates and agreements (from 25,000 sales documents). We provide a variety of free and printable contract templates for you. Whether you're getting home repairs done, doing home repairs for others, or get access to 100+ contract templates & agreements. But drawing up contracts from scratch every time you need one can be. We've taken everything we learned from 2 billion in winning sales and created this contract library. There are contracts and agreements for many home and business arrangements, including home maintenance services.

40 Free Loan Agreement Templates Word Pdf Á… Templatelab - Download Free Financial Templates For Business And Personal Planning, Including Strategic Financial Depending On The Type Of Project, You May Include Hourly Services That Contract Employees Provide.

8 Personal Loan Agreement Between Friends Purchase Agreement Group In 2020 Personal Loans Contract Template Private Loans. In common law legal systems, a contract (or. Benefit from 32 sample contract templates. There are contracts and agreements for many home and business arrangements, including home maintenance services. We've taken everything we learned from 2 billion in winning sales and created this contract library. Whether you're getting home repairs done, doing home repairs for others, or get access to 100+ contract templates & agreements. Instantly download free contract templates, samples & examples in adobe pdf, microsoft word (doc), google docs, apple (mac) pages. Get free contract templates for business or personal use. Contract templates and agreements (from 25,000 sales documents). Download free printable contract template samples in pdf, word and excel formats. We provide a variety of free and printable contract templates for you.

40 Free Loan Agreement Templates Word Pdf Á… Templatelab , Depending on the loan that was selected a legal contract will need to be drafted stating the terms of the loan agreement including

Owner Financing Contract Pdf Template Ready For Editing And Printing. Whether you're getting home repairs done, doing home repairs for others, or get access to 100+ contract templates & agreements. In common law legal systems, a contract (or. Benefit from 32 sample contract templates. Contract templates and agreements (from 25,000 sales documents). There are contracts and agreements for many home and business arrangements, including home maintenance services. We've taken everything we learned from 2 billion in winning sales and created this contract library. Get free contract templates for business or personal use. 538 sample contract templates you can view, download and print for free. Download free printable contract template samples in pdf, word and excel formats. From employment contracts to rental agreements, contracts are essential in nearly every business. We provide a variety of free and printable contract templates for you. Instantly download free contract templates, samples & examples in adobe pdf, microsoft word (doc), google docs, apple (mac) pages. But drawing up contracts from scratch every time you need one can be. Download and use these documents to clearly define the terms, conditions, and expectations for every agreement. A contract template refers to a template used for writing a contract.

Car Installment Payment Contract Template Fill Online Printable Fillable Blank Pdffiller - Collection Of Most Popular Forms In A Given Sphere.

Free Financial Planning Templates Smartsheet. Whether you're getting home repairs done, doing home repairs for others, or get access to 100+ contract templates & agreements. Contract templates and agreements (from 25,000 sales documents). We provide a variety of free and printable contract templates for you. A contract template refers to a template used for writing a contract. From employment contracts to rental agreements, contracts are essential in nearly every business. But drawing up contracts from scratch every time you need one can be. 538 sample contract templates you can view, download and print for free. Download free printable contract template samples in pdf, word and excel formats. There are contracts and agreements for many home and business arrangements, including home maintenance services. Get free contract templates for business or personal use. We've taken everything we learned from 2 billion in winning sales and created this contract library. In common law legal systems, a contract (or. Benefit from 32 sample contract templates. Download and use these documents to clearly define the terms, conditions, and expectations for every agreement. Instantly download free contract templates, samples & examples in adobe pdf, microsoft word (doc), google docs, apple (mac) pages.

Exemple Personal Loan Contract Forms Doc Pdf Format Sample Contracts . A Well Prepared Financial Lease Contract Template Is What You Need Before Entering Into This Agreement.

Free Financial Planning Templates Smartsheet. Whether you're getting home repairs done, doing home repairs for others, or get access to 100+ contract templates & agreements. Get free contract templates for business or personal use. Instantly download free contract templates, samples & examples in adobe pdf, microsoft word (doc), google docs, apple (mac) pages. Contract templates and agreements (from 25,000 sales documents). In common law legal systems, a contract (or. A contract template refers to a template used for writing a contract. But drawing up contracts from scratch every time you need one can be. From employment contracts to rental agreements, contracts are essential in nearly every business. We provide a variety of free and printable contract templates for you. 538 sample contract templates you can view, download and print for free. Download free printable contract template samples in pdf, word and excel formats. There are contracts and agreements for many home and business arrangements, including home maintenance services. Benefit from 32 sample contract templates. Download and use these documents to clearly define the terms, conditions, and expectations for every agreement. We've taken everything we learned from 2 billion in winning sales and created this contract library.

Free 7 Sample Financial Contract Forms In Pdf Ms Word : Get Free Contract Templates For Business Or Personal Use.

Loan Agreement Template Ipasphoto. Download free printable contract template samples in pdf, word and excel formats. Instantly download free contract templates, samples & examples in adobe pdf, microsoft word (doc), google docs, apple (mac) pages. Whether you're getting home repairs done, doing home repairs for others, or get access to 100+ contract templates & agreements. We provide a variety of free and printable contract templates for you. From employment contracts to rental agreements, contracts are essential in nearly every business. 538 sample contract templates you can view, download and print for free. Benefit from 32 sample contract templates. Download and use these documents to clearly define the terms, conditions, and expectations for every agreement. There are contracts and agreements for many home and business arrangements, including home maintenance services. Get free contract templates for business or personal use. A contract template refers to a template used for writing a contract. In common law legal systems, a contract (or. Contract templates and agreements (from 25,000 sales documents). But drawing up contracts from scratch every time you need one can be. We've taken everything we learned from 2 billion in winning sales and created this contract library.

40 Free Loan Agreement Templates Word Pdf Á… Templatelab : We've Taken Everything We Learned From 2 Billion In Winning Sales And Created This Contract Library.

38 Free Loan Agreement Templates Forms Word Pdf. In common law legal systems, a contract (or. 538 sample contract templates you can view, download and print for free. From employment contracts to rental agreements, contracts are essential in nearly every business. A contract template refers to a template used for writing a contract. Contract templates and agreements (from 25,000 sales documents). Download free printable contract template samples in pdf, word and excel formats. Download and use these documents to clearly define the terms, conditions, and expectations for every agreement. We've taken everything we learned from 2 billion in winning sales and created this contract library. Instantly download free contract templates, samples & examples in adobe pdf, microsoft word (doc), google docs, apple (mac) pages. There are contracts and agreements for many home and business arrangements, including home maintenance services. We provide a variety of free and printable contract templates for you. But drawing up contracts from scratch every time you need one can be. Get free contract templates for business or personal use. Benefit from 32 sample contract templates. Whether you're getting home repairs done, doing home repairs for others, or get access to 100+ contract templates & agreements.

Loan Agreement Template Free Sample Docsketch , A Contract Template Refers To A Template Used For Writing A Contract.

40 Free Loan Agreement Templates Word Pdf Á… Templatelab. Download free printable contract template samples in pdf, word and excel formats. Contract templates and agreements (from 25,000 sales documents). We've taken everything we learned from 2 billion in winning sales and created this contract library. Benefit from 32 sample contract templates. Whether you're getting home repairs done, doing home repairs for others, or get access to 100+ contract templates & agreements. Get free contract templates for business or personal use. Instantly download free contract templates, samples & examples in adobe pdf, microsoft word (doc), google docs, apple (mac) pages. Download and use these documents to clearly define the terms, conditions, and expectations for every agreement. A contract template refers to a template used for writing a contract. We provide a variety of free and printable contract templates for you. But drawing up contracts from scratch every time you need one can be. In common law legal systems, a contract (or. From employment contracts to rental agreements, contracts are essential in nearly every business. 538 sample contract templates you can view, download and print for free. There are contracts and agreements for many home and business arrangements, including home maintenance services.

Free 7 Sample Financial Contract Forms In Pdf Ms Word , Depending On The Loan That Was Selected A Legal Contract Will Need To Be Drafted Stating The Terms Of The Loan Agreement Including

New Car Loan Agreement Template Pdf Models Form Ideas. In common law legal systems, a contract (or. We've taken everything we learned from 2 billion in winning sales and created this contract library. A contract template refers to a template used for writing a contract. Contract templates and agreements (from 25,000 sales documents). Get free contract templates for business or personal use. We provide a variety of free and printable contract templates for you. Benefit from 32 sample contract templates. Download and use these documents to clearly define the terms, conditions, and expectations for every agreement. Instantly download free contract templates, samples & examples in adobe pdf, microsoft word (doc), google docs, apple (mac) pages. But drawing up contracts from scratch every time you need one can be. There are contracts and agreements for many home and business arrangements, including home maintenance services. 538 sample contract templates you can view, download and print for free. Whether you're getting home repairs done, doing home repairs for others, or get access to 100+ contract templates & agreements. From employment contracts to rental agreements, contracts are essential in nearly every business. Download free printable contract template samples in pdf, word and excel formats.

Free 23 Simple Investment Contract Samples In Pdf Google Docs Ms Word Pages . Get Free Contract Templates For Business Or Personal Use.

Free 7 Sample Financial Contract Forms In Pdf Ms Word. A contract template refers to a template used for writing a contract. Benefit from 32 sample contract templates. There are contracts and agreements for many home and business arrangements, including home maintenance services. Whether you're getting home repairs done, doing home repairs for others, or get access to 100+ contract templates & agreements. But drawing up contracts from scratch every time you need one can be. Instantly download free contract templates, samples & examples in adobe pdf, microsoft word (doc), google docs, apple (mac) pages. From employment contracts to rental agreements, contracts are essential in nearly every business. In common law legal systems, a contract (or. Download free printable contract template samples in pdf, word and excel formats. Get free contract templates for business or personal use. We've taken everything we learned from 2 billion in winning sales and created this contract library. 538 sample contract templates you can view, download and print for free. We provide a variety of free and printable contract templates for you. Contract templates and agreements (from 25,000 sales documents). Download and use these documents to clearly define the terms, conditions, and expectations for every agreement.