Web Analytics
Affidavit Of Marriage Sample . A Person Might Need To Verify Their Marital Information To Get Health Insurance Or To Get A Passport, Visa, Or Other Government Documents.

Affidavit Of Marriage Sample . A Person Might Need To Verify Their Marital Information To Get Health Insurance Or To Get A Passport, Visa, Or Other Government Documents.

An affidavit of marriage is a document submitted to a court, university, or other institution in order to verify that a person is married.

Affidavit Of Marriage Sample. Formal letter example for job seekers /resignation/complaint samples. Example of affidavit for i 751. However, in case the marriage certificate gets destroyed, misplaced or lost an affidavit forms for marriage can prove just as useful. Here is a sample affidavit for marriage certificate. An affidavit of marriage is typically used in place of a marriage certificate when the certificate cannot be located. Affidavit of bona fide marriage example. A person might need to verify their marital information to get health insurance or to get a passport, visa, or other government documents. You may also like income statement examples & samples. This letter is not mandatory but is a. A marriage certificate of a couple can be extremely useful in various circumstances like applying for a passport, renting an apartment etc. The elec rolier newsletter of the st. Unlimited documents access hundreds of legal documents, plus extra features like electronic signatures. Since this serves as a legally binding document through these guidelines and examples, you can draft a formal affidavit in no time! An affidavit of marriage is a document submitted to a court, university, or other institution in order to verify that a person is married. An affidavit of marriage is a type of document used as evidence of a legal union between two individuals.

Affidavit Of Marriage Sample: Marriage & Divorce · 2 Days Ago.

Sample Marriage Affidavit For I 130 Sample Web M. An affidavit of marriage is a type of document used as evidence of a legal union between two individuals. The elec rolier newsletter of the st. However, in case the marriage certificate gets destroyed, misplaced or lost an affidavit forms for marriage can prove just as useful. Here is a sample affidavit for marriage certificate. Unlimited documents access hundreds of legal documents, plus extra features like electronic signatures. Formal letter example for job seekers /resignation/complaint samples. Example of affidavit for i 751. You may also like income statement examples & samples. An affidavit of marriage is typically used in place of a marriage certificate when the certificate cannot be located. Affidavit of bona fide marriage example. Since this serves as a legally binding document through these guidelines and examples, you can draft a formal affidavit in no time! This letter is not mandatory but is a. A person might need to verify their marital information to get health insurance or to get a passport, visa, or other government documents. A marriage certificate of a couple can be extremely useful in various circumstances like applying for a passport, renting an apartment etc. An affidavit of marriage is a document submitted to a court, university, or other institution in order to verify that a person is married.

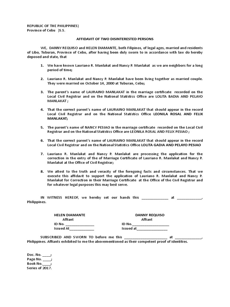
How To Apostille A Single Status Affidavit International Apostille Services
How To Apostille A Single Status Affidavit International Apostille Services from www.internationalapostille.com
Unlimited documents access hundreds of legal documents, plus extra features like electronic signatures. Immigration service requests that you submit evidence that you and your spouse are in a bona fide or true marriage. There are different reasons why drafting a marriage affidavit is necessary, and there are various types of marriage affidavits to begin with as well. You can modify it as per your requirements and information. Sample joint affidavit of marriage form. An affidavit of marriage is a document submitted to a court, university, or other institution in order to verify that a person is married. Like every other important decision, marriage requires a complete paperwork under legal laws and regulations.

A marriage certificate of a couple can be extremely useful in various circumstances like applying for a passport, renting an apartment etc.

A person might need to verify their marital information to get health insurance or to get a passport, visa, or other government documents. Marriage affidavit template is a document that has to be signed in case the marriage certificate is lost or cannot be found. Sample joint affidavit of marriage form. It is a proof of declaration that is made by a person to prove that he/she are married. And, if you have just recently married most people understandably don't have many of the typical bona fides, such as a joint checking account, a joint lease or mortgage, joint health insurance, etc. There are different reasons why drafting a marriage affidavit is necessary, and there are various types of marriage affidavits to begin with as well. These are the kind of things that typical married couples would have to show that you have intertwined your lives. Myadvo will help you through an expert professional. The above affidavit is just a sample. A marriage certificate of a couple can be extremely useful in various circumstances like applying for a passport, renting an apartment etc. A person might need to verify their marital information to get health insurance or to get a passport, visa, or other government documents. Advantages of getting marriage registered, marriage solemnization and cost of marriage certificate in india. Affidavit in support of common law marriage. This affidavit is used to legally bind two individuals in marriage. Published 1 april 2015 last updated 15 june 2018 — see all updates. Affidavit of marriage sample letter. Affidavit of support and guarantee. Affidavit to use surname of the father. If you are planning on getting married outside your country of birth you may be asked to submit an affidavit of single status signed in front of a notary public, and most likely apostilled or legalized to be acceptable in the country where you're getting married. Why do some wives cheat on their husbands with their exes whom they claimed to got over them before marriage and were unsuitable for them? All the affidavits related to marriage or divorce cases can be downloaded. While getting married, a marriage… Like every other important decision, marriage requires a complete paperwork under legal laws and regulations. Documents similar to joint affidavit of marriage form. You will need separate affidavits for both hisband and wife. You may also like income statement examples & samples. How to make an affidavit. To have your own affidavit form, our website is offering different types such as sample affidavit of support forms and sample affidavit of support. If you're being asked for a single proof to get. Important information to know when submitting a marriage amendment request. You may need such documents during your green card process.

Affidavit Of Marriage Relationship To Accompany I 130 Or I 751 Application Or Petition To The Immigration And Naturalization Service Us Legal Forms. Unlimited Documents Access Hundreds Of Legal Documents, Plus Extra Features Like Electronic Signatures.

Hosisslav Sample Affidavit Of Marriage Relationship By Third Party. This letter is not mandatory but is a. Affidavit of bona fide marriage example. An affidavit of marriage is a document submitted to a court, university, or other institution in order to verify that a person is married. An affidavit of marriage is typically used in place of a marriage certificate when the certificate cannot be located. A marriage certificate of a couple can be extremely useful in various circumstances like applying for a passport, renting an apartment etc. However, in case the marriage certificate gets destroyed, misplaced or lost an affidavit forms for marriage can prove just as useful. Here is a sample affidavit for marriage certificate. Since this serves as a legally binding document through these guidelines and examples, you can draft a formal affidavit in no time! Example of affidavit for i 751. A person might need to verify their marital information to get health insurance or to get a passport, visa, or other government documents. You may also like income statement examples & samples. An affidavit of marriage is a type of document used as evidence of a legal union between two individuals. Formal letter example for job seekers /resignation/complaint samples. Unlimited documents access hundreds of legal documents, plus extra features like electronic signatures. The elec rolier newsletter of the st.

10 Affidavit Form Examples Pdf Examples . Get Printable Document In Pdf, Excel, Word.

Free 11 Affidavit Form For Marriage Samples In Ms Word Pdf. An affidavit of marriage is a document submitted to a court, university, or other institution in order to verify that a person is married. A marriage certificate of a couple can be extremely useful in various circumstances like applying for a passport, renting an apartment etc. The elec rolier newsletter of the st. Affidavit of bona fide marriage example. A person might need to verify their marital information to get health insurance or to get a passport, visa, or other government documents. Formal letter example for job seekers /resignation/complaint samples. This letter is not mandatory but is a. An affidavit of marriage is a type of document used as evidence of a legal union between two individuals. Unlimited documents access hundreds of legal documents, plus extra features like electronic signatures. Example of affidavit for i 751.

Florida Affidavit Of Continuous Marriage In Word And Pdf Formats : Affidavit of parental consent / advice for marriage.

Sample General Affidavit Form Youtube. Unlimited documents access hundreds of legal documents, plus extra features like electronic signatures. A person might need to verify their marital information to get health insurance or to get a passport, visa, or other government documents. An affidavit of marriage is typically used in place of a marriage certificate when the certificate cannot be located. Here is a sample affidavit for marriage certificate. A marriage certificate of a couple can be extremely useful in various circumstances like applying for a passport, renting an apartment etc. An affidavit of marriage is a document submitted to a court, university, or other institution in order to verify that a person is married. This letter is not mandatory but is a. An affidavit of marriage is a type of document used as evidence of a legal union between two individuals. Since this serves as a legally binding document through these guidelines and examples, you can draft a formal affidavit in no time! Affidavit of bona fide marriage example. The elec rolier newsletter of the st. You may also like income statement examples & samples. Formal letter example for job seekers /resignation/complaint samples. However, in case the marriage certificate gets destroyed, misplaced or lost an affidavit forms for marriage can prove just as useful. Example of affidavit for i 751.

Free 32 Affidavit Forms In Pdf , You May Also Like Income Statement Examples & Samples.

Form I 864 Sample 2017 Best Of Sample Affidavit For Marriage Certificate India Fresh Form I Luxury Models Form Ideas. Affidavit of bona fide marriage example. An affidavit of marriage is a type of document used as evidence of a legal union between two individuals. You may also like income statement examples & samples. This letter is not mandatory but is a. Example of affidavit for i 751. Here is a sample affidavit for marriage certificate. Since this serves as a legally binding document through these guidelines and examples, you can draft a formal affidavit in no time! An affidavit of marriage is a document submitted to a court, university, or other institution in order to verify that a person is married. A marriage certificate of a couple can be extremely useful in various circumstances like applying for a passport, renting an apartment etc. Formal letter example for job seekers /resignation/complaint samples. However, in case the marriage certificate gets destroyed, misplaced or lost an affidavit forms for marriage can prove just as useful. Unlimited documents access hundreds of legal documents, plus extra features like electronic signatures. The elec rolier newsletter of the st. A person might need to verify their marital information to get health insurance or to get a passport, visa, or other government documents. An affidavit of marriage is typically used in place of a marriage certificate when the certificate cannot be located.

Single Status Apostille California Apostille . Affidavit Of Marriage Sample Letter.

Affidavit Of Marriage Sample Template Word And Pdf. You may also like income statement examples & samples. Affidavit of bona fide marriage example. Unlimited documents access hundreds of legal documents, plus extra features like electronic signatures. Here is a sample affidavit for marriage certificate. Formal letter example for job seekers /resignation/complaint samples. The elec rolier newsletter of the st. A person might need to verify their marital information to get health insurance or to get a passport, visa, or other government documents. Since this serves as a legally binding document through these guidelines and examples, you can draft a formal affidavit in no time! Example of affidavit for i 751. However, in case the marriage certificate gets destroyed, misplaced or lost an affidavit forms for marriage can prove just as useful. An affidavit of marriage is a type of document used as evidence of a legal union between two individuals. A marriage certificate of a couple can be extremely useful in various circumstances like applying for a passport, renting an apartment etc. An affidavit of marriage is a document submitted to a court, university, or other institution in order to verify that a person is married. An affidavit of marriage is typically used in place of a marriage certificate when the certificate cannot be located. This letter is not mandatory but is a.

Affidavit Freedom To Marry Sample . Like Every Other Important Decision, Marriage Requires A Complete Paperwork Under Legal Laws And Regulations.

Marriage Affidavit Template Free Printable Documents Common Law Marriage Marriage Lettering. A marriage certificate of a couple can be extremely useful in various circumstances like applying for a passport, renting an apartment etc. An affidavit of marriage is a type of document used as evidence of a legal union between two individuals. Formal letter example for job seekers /resignation/complaint samples. Since this serves as a legally binding document through these guidelines and examples, you can draft a formal affidavit in no time! Example of affidavit for i 751. Here is a sample affidavit for marriage certificate. The elec rolier newsletter of the st. You may also like income statement examples & samples. Affidavit of bona fide marriage example. An affidavit of marriage is a document submitted to a court, university, or other institution in order to verify that a person is married. Unlimited documents access hundreds of legal documents, plus extra features like electronic signatures. An affidavit of marriage is typically used in place of a marriage certificate when the certificate cannot be located. However, in case the marriage certificate gets destroyed, misplaced or lost an affidavit forms for marriage can prove just as useful. A person might need to verify their marital information to get health insurance or to get a passport, visa, or other government documents. This letter is not mandatory but is a.

Affidavit Of Correct Name Or Name Change Afrm015 First Investors : The Microsoft Word Template Below Has Been Provided Solely As A Formatting Template And Is Formatted In Such A Way That You Can Directly Print Onto The Standard Stamp.

How To Apostille A Single Status Affidavit International Apostille Services. An affidavit of marriage is a type of document used as evidence of a legal union between two individuals. A marriage certificate of a couple can be extremely useful in various circumstances like applying for a passport, renting an apartment etc. Affidavit of bona fide marriage example. Unlimited documents access hundreds of legal documents, plus extra features like electronic signatures. This letter is not mandatory but is a. The elec rolier newsletter of the st. An affidavit of marriage is a document submitted to a court, university, or other institution in order to verify that a person is married. Since this serves as a legally binding document through these guidelines and examples, you can draft a formal affidavit in no time! Formal letter example for job seekers /resignation/complaint samples. Example of affidavit for i 751. You may also like income statement examples & samples. An affidavit of marriage is typically used in place of a marriage certificate when the certificate cannot be located. However, in case the marriage certificate gets destroyed, misplaced or lost an affidavit forms for marriage can prove just as useful. A person might need to verify their marital information to get health insurance or to get a passport, visa, or other government documents. Here is a sample affidavit for marriage certificate.

Third Party Affidavit Affirming Bona Fide Marriage Spouse Visa Lovevisalife . A Marriage Affidavit Is Used To Prove The Union Between A Married Couple.

Third Party Affidavit Affirming Bona Fide Marriage Spouse Visa Lovevisalife. An affidavit of marriage is a type of document used as evidence of a legal union between two individuals. A marriage certificate of a couple can be extremely useful in various circumstances like applying for a passport, renting an apartment etc. This letter is not mandatory but is a. Example of affidavit for i 751. The elec rolier newsletter of the st. Unlimited documents access hundreds of legal documents, plus extra features like electronic signatures. Formal letter example for job seekers /resignation/complaint samples. You may also like income statement examples & samples. An affidavit of marriage is a document submitted to a court, university, or other institution in order to verify that a person is married. An affidavit of marriage is typically used in place of a marriage certificate when the certificate cannot be located. A person might need to verify their marital information to get health insurance or to get a passport, visa, or other government documents. However, in case the marriage certificate gets destroyed, misplaced or lost an affidavit forms for marriage can prove just as useful. Affidavit of bona fide marriage example. Here is a sample affidavit for marriage certificate. Since this serves as a legally binding document through these guidelines and examples, you can draft a formal affidavit in no time!

How To Write An I 751 Affidavit Letter Of Support Citizenpath : A Marriage Certificate Of A Couple Can Be Extremely Useful In Various Circumstances Like Applying For A Passport, Renting An Apartment Etc.

Third Party Affidavit Affirming Bona Fide Marriage Spouse Visa Lovevisalife. Here is a sample affidavit for marriage certificate. The elec rolier newsletter of the st. An affidavit of marriage is a document submitted to a court, university, or other institution in order to verify that a person is married. A marriage certificate of a couple can be extremely useful in various circumstances like applying for a passport, renting an apartment etc. Formal letter example for job seekers /resignation/complaint samples. Affidavit of bona fide marriage example. You may also like income statement examples & samples. An affidavit of marriage is a type of document used as evidence of a legal union between two individuals. A person might need to verify their marital information to get health insurance or to get a passport, visa, or other government documents. Since this serves as a legally binding document through these guidelines and examples, you can draft a formal affidavit in no time! However, in case the marriage certificate gets destroyed, misplaced or lost an affidavit forms for marriage can prove just as useful. An affidavit of marriage is typically used in place of a marriage certificate when the certificate cannot be located. Example of affidavit for i 751. This letter is not mandatory but is a. Unlimited documents access hundreds of legal documents, plus extra features like electronic signatures.

Affidavit Example Form For Bonafide Marriage Immigration General Probable Cause Points To Be Covered Coolexample : You Will Need Separate Affidavits For Both Hisband And Wife.

21 Printable Affidavit Of Marriage From Friend Forms And Templates Fillable Samples In Pdf Word To Download Pdffiller. You may also like income statement examples & samples. Unlimited documents access hundreds of legal documents, plus extra features like electronic signatures. Affidavit of bona fide marriage example. An affidavit of marriage is a document submitted to a court, university, or other institution in order to verify that a person is married. A person might need to verify their marital information to get health insurance or to get a passport, visa, or other government documents. A marriage certificate of a couple can be extremely useful in various circumstances like applying for a passport, renting an apartment etc. The elec rolier newsletter of the st. Since this serves as a legally binding document through these guidelines and examples, you can draft a formal affidavit in no time! Here is a sample affidavit for marriage certificate. This letter is not mandatory but is a. An affidavit of marriage is a type of document used as evidence of a legal union between two individuals. Formal letter example for job seekers /resignation/complaint samples. Example of affidavit for i 751. However, in case the marriage certificate gets destroyed, misplaced or lost an affidavit forms for marriage can prove just as useful. An affidavit of marriage is typically used in place of a marriage certificate when the certificate cannot be located.